The Beginning
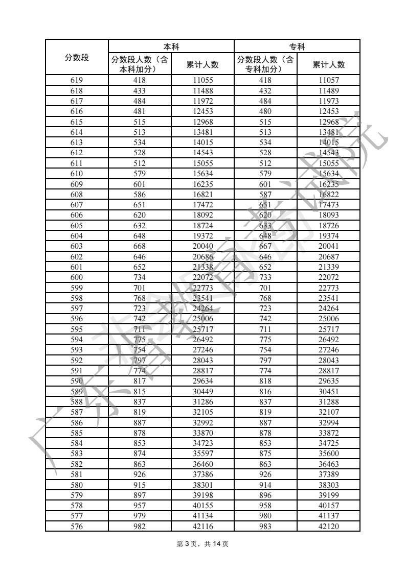
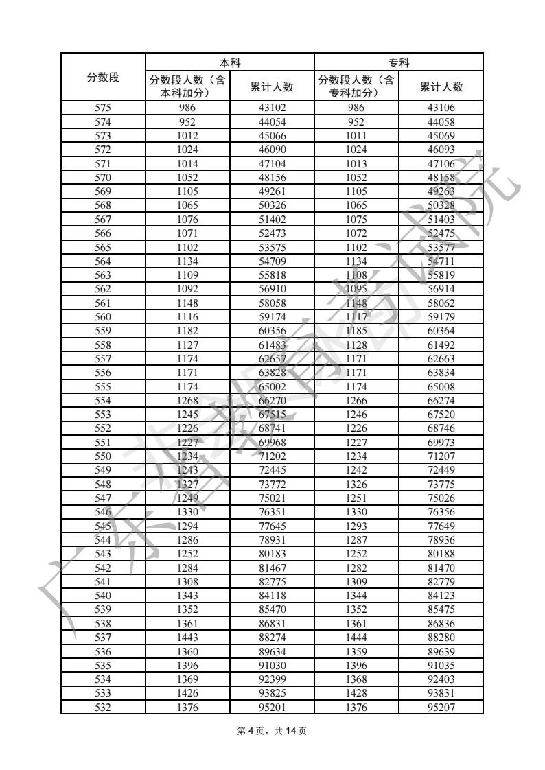
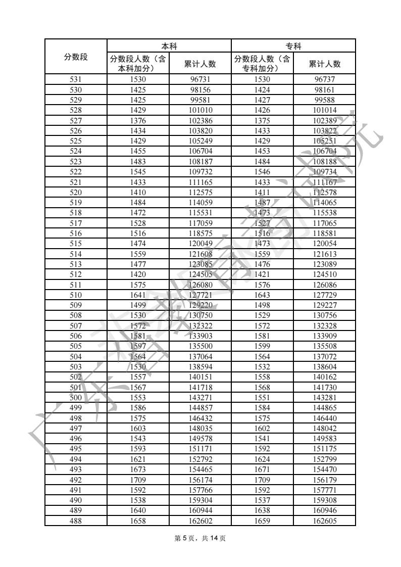
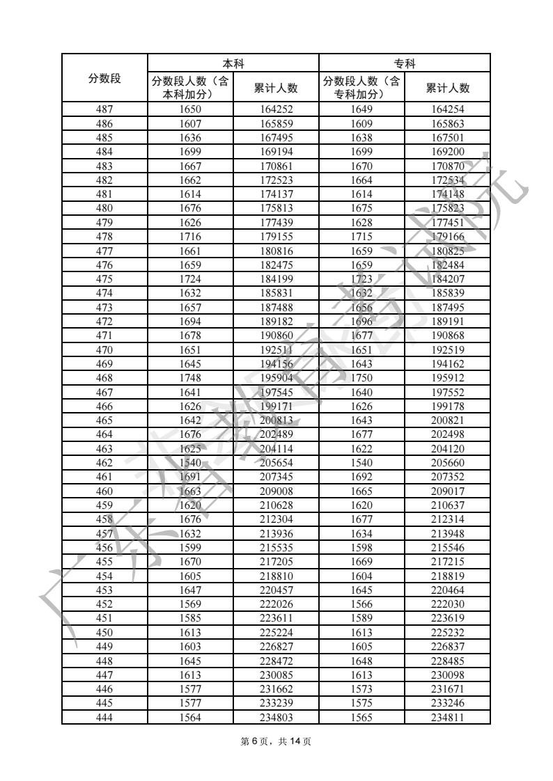
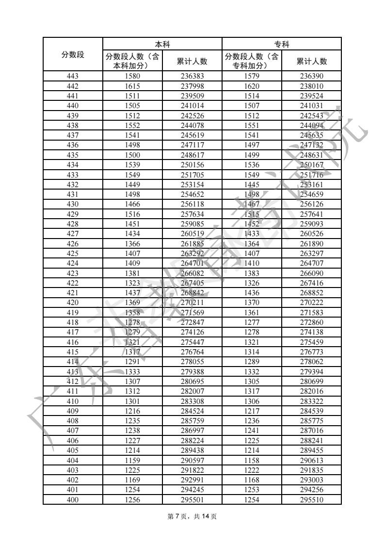
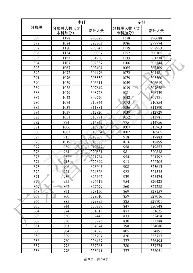
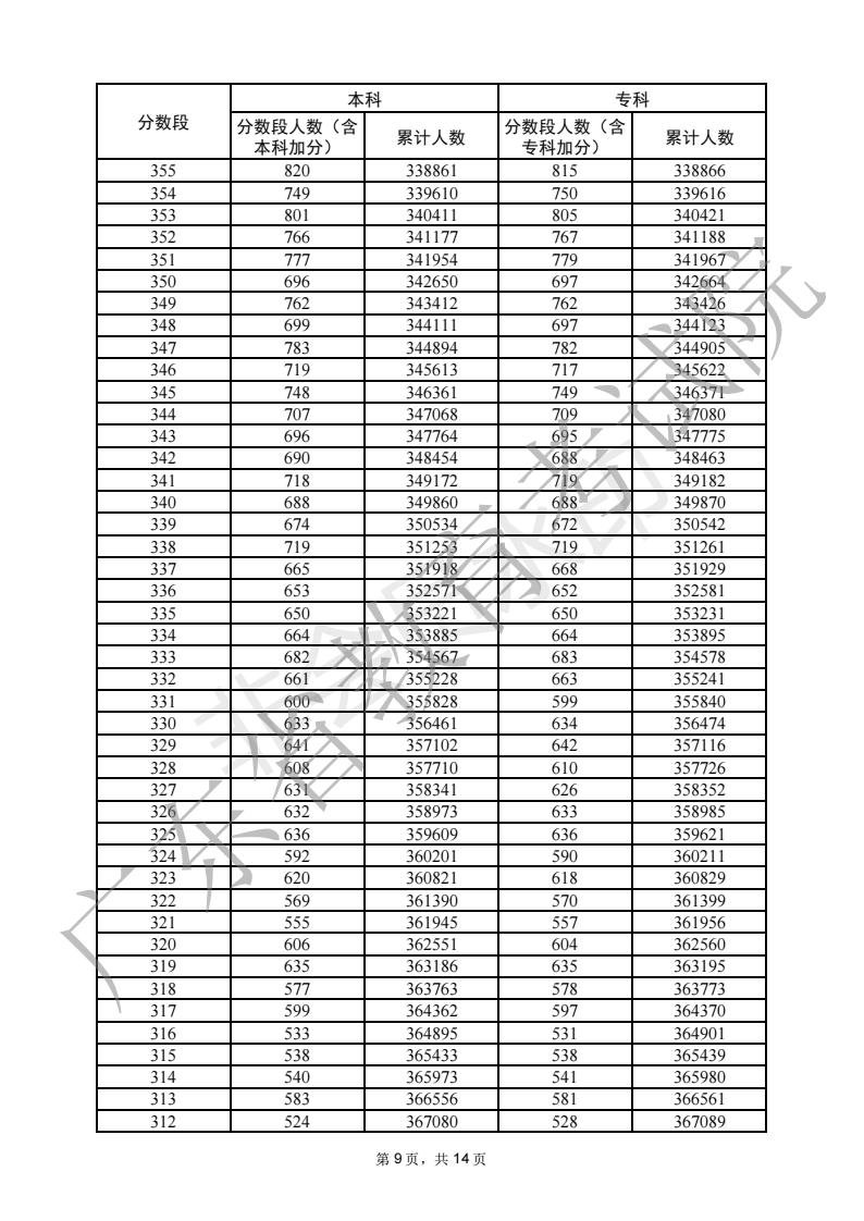
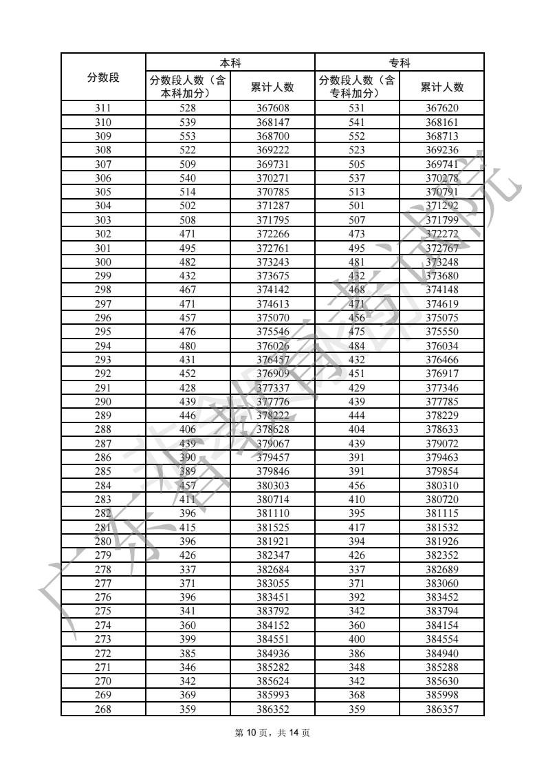
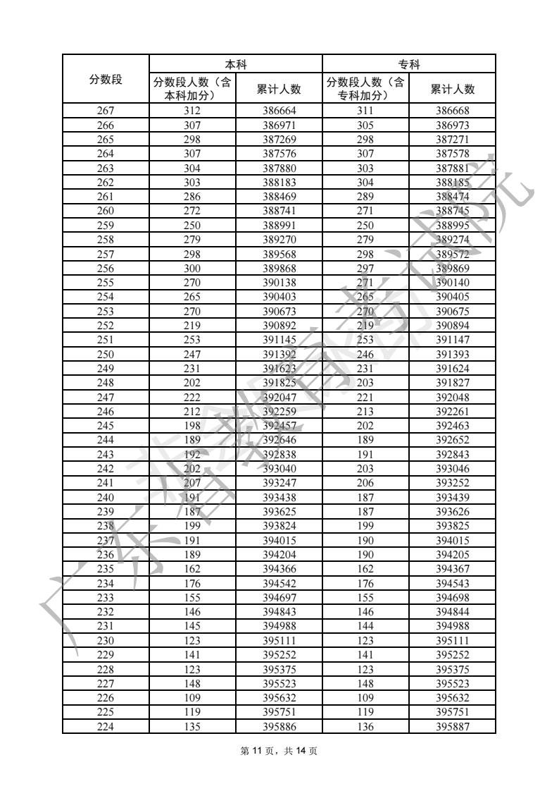
点击下载:广东省2022年高考普通类(物理)分数段统计表(含本、专科层次加分)













平行志愿投档时如何进行排序?
(1)按类别根据考生高考成绩合成总分(含政策性加分)从高到低确定投档位序。合成总分(含政策性加分)相同时,比较“3+1+2”考试科目总分(不含政策性加分)高低,高者优先。
(2)“3+1+2”考试科目总分(不含政策性加分)仍相同时,按以下原则进行排列:
第1位序,比较语文加数学两门合计成绩高低,高者优先。
第2位序,比较语文和数学两门中的单科较高成绩高低,高者优先。
第3位序,比较外语成绩高低,高者优先。
第4位序,普通类专业按选考物理、历史分开两类比较物理或历史成绩高低,高者优先;艺体类专业比较术科统考成绩高低,高者优先。
第5位序,比较两门再选科目中的单科较高成绩高低,高者优先。
第6位序,比较两门再选科目中的单科次高成绩高低,高者优先。
THE END




