The Beginning
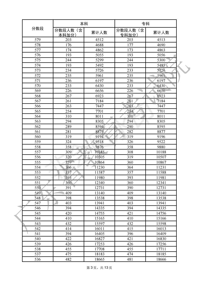
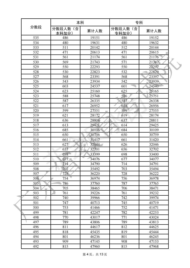
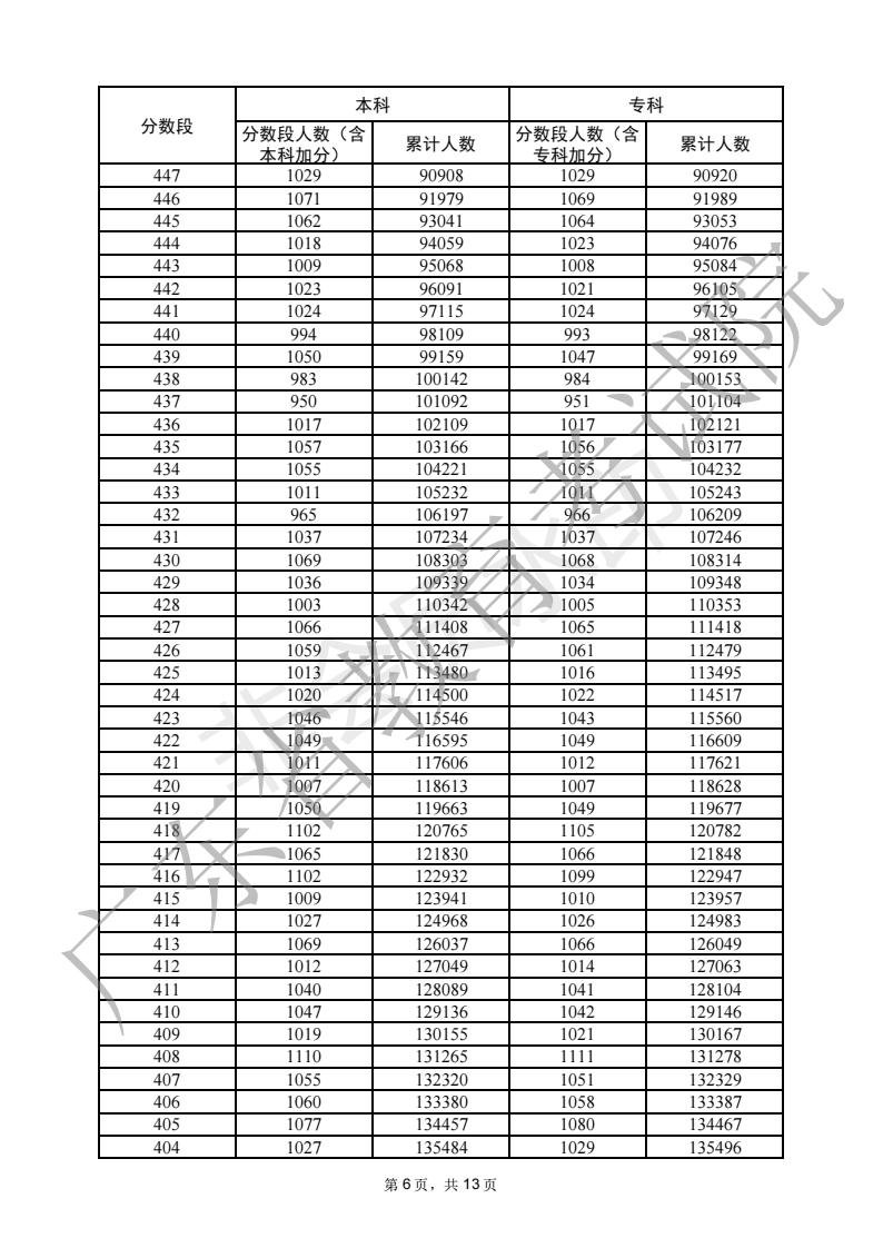
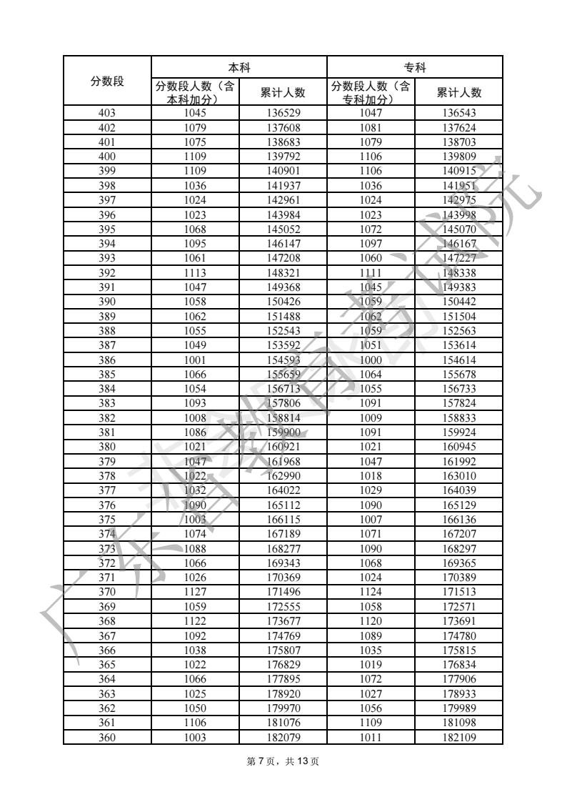
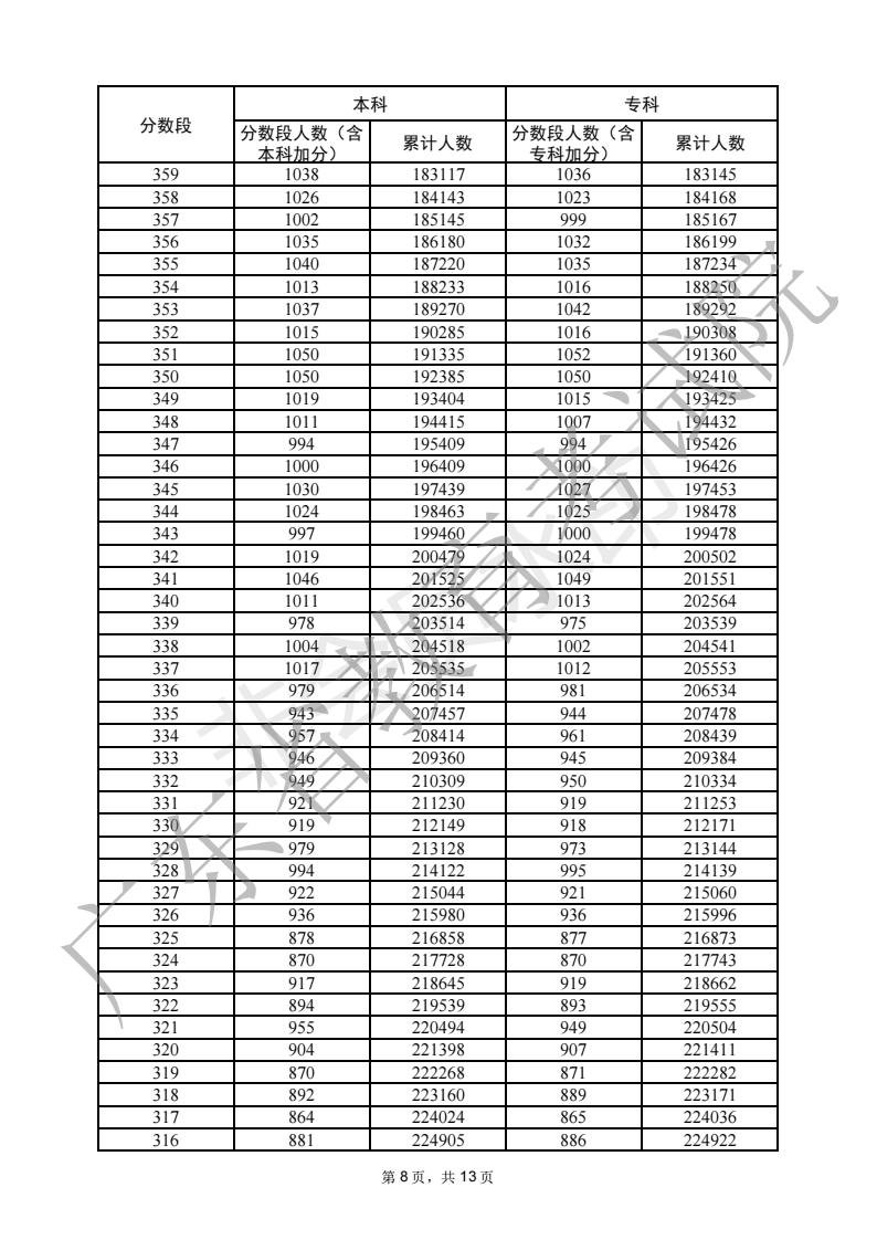
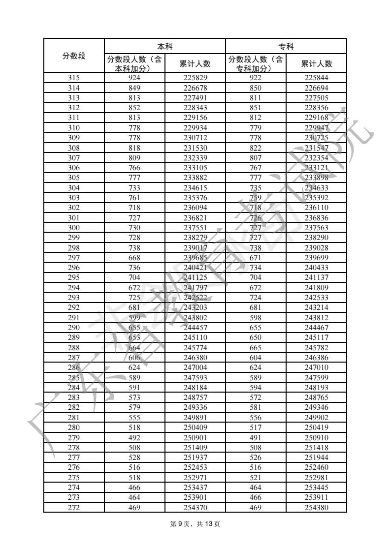
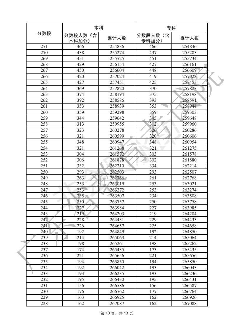
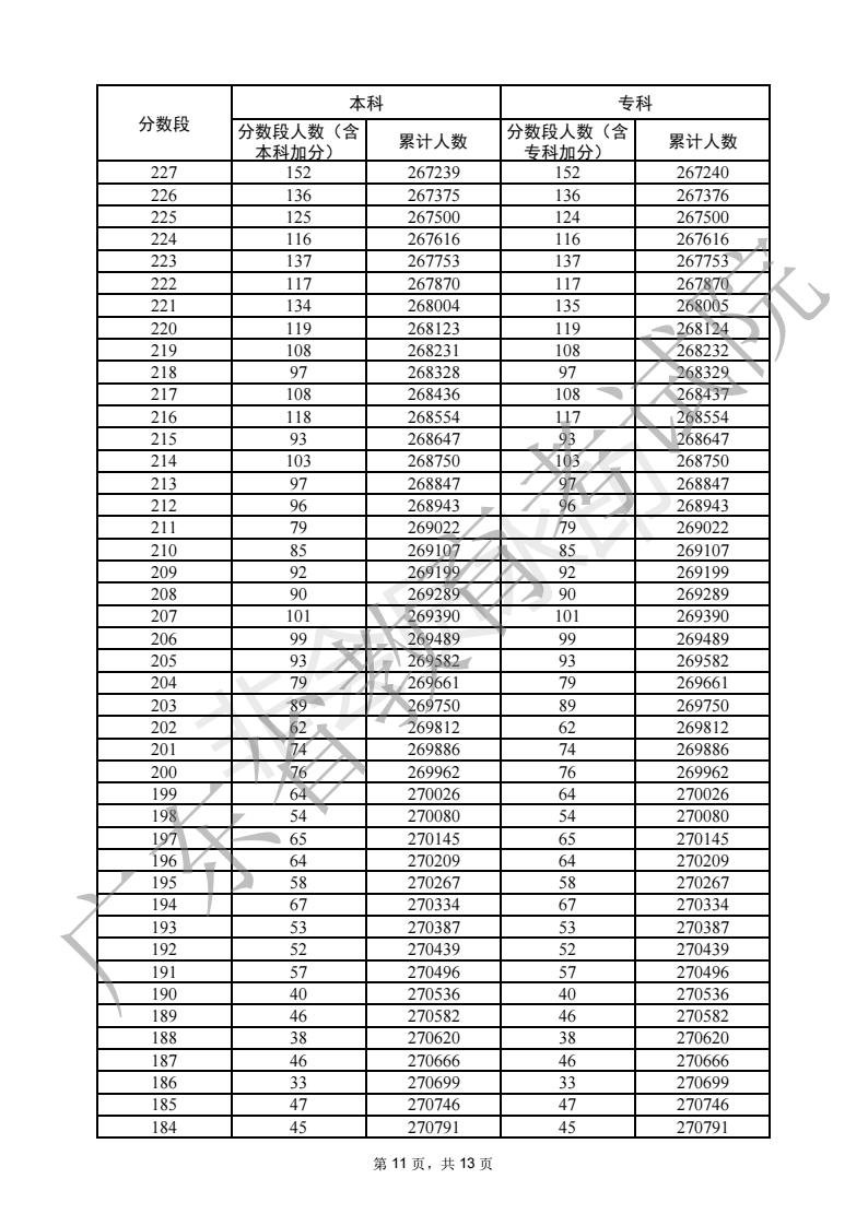
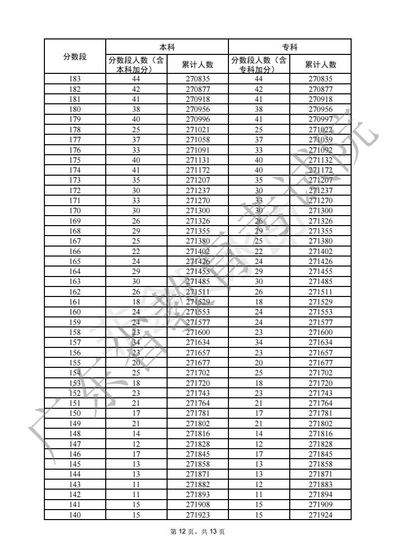
点击下载:广东省2022年高考普通类(历史)分数段统计表(含本、专科层次加分)










招生录取批次如何划分?
夏季高考分为提前、本科、专科(高职)三个批次。
(1)提前批次。
提前批次分为本科提前和专科提前两个部分。本科提前部分安排在普通本科院校录取开始前进行,专科提前部分安排在普通本科院校录取结束后、普通专科院校录取开始前进行。
本科提前部分包括空军、海军招飞院校,军检院校(含需政审、面试、体检的军队、武警、公安、司法、消防、民航招飞院校),独立设置本科艺术院校(含参照)及经批准的本科院校艺术专业,经批准的非军检本科院校的师范、农林、小语种等专业,本科层次的教师专项计划和卫生专项计划,高校专项计划、高水平艺术团、高水平运动队、综合评价等特殊类型招生院校。
专科提前部分包括专科提前院校和专科层次卫生专项计划。
(2)本科批次。
本科批次包括普通类本科院校(含地方专项计划、少数民族班、各类预科班)、艺体类本科院校。
(3)专科(高职)批次。
专科(高职)批次包括普通类专科院校和艺体类专科院校。
以上各批次各类型院校均实行院校专业组投档录取模式。
THE END




