The Beginning
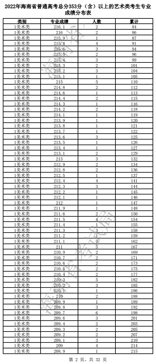
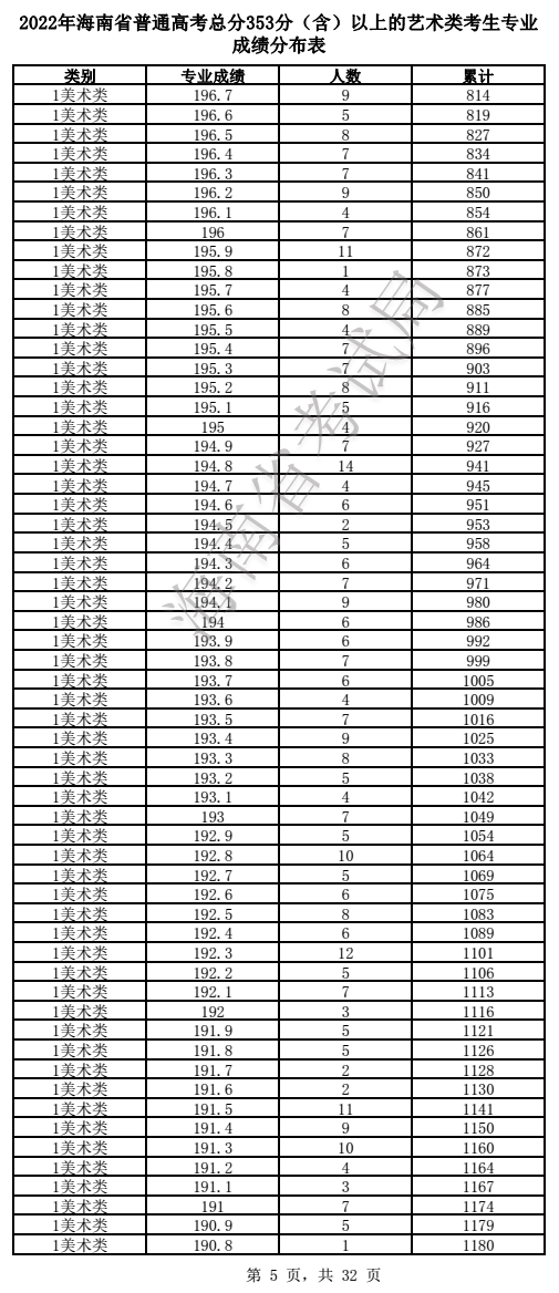
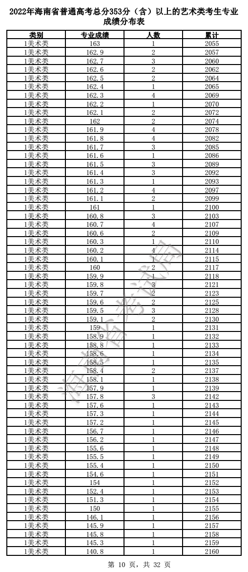
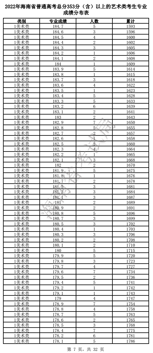
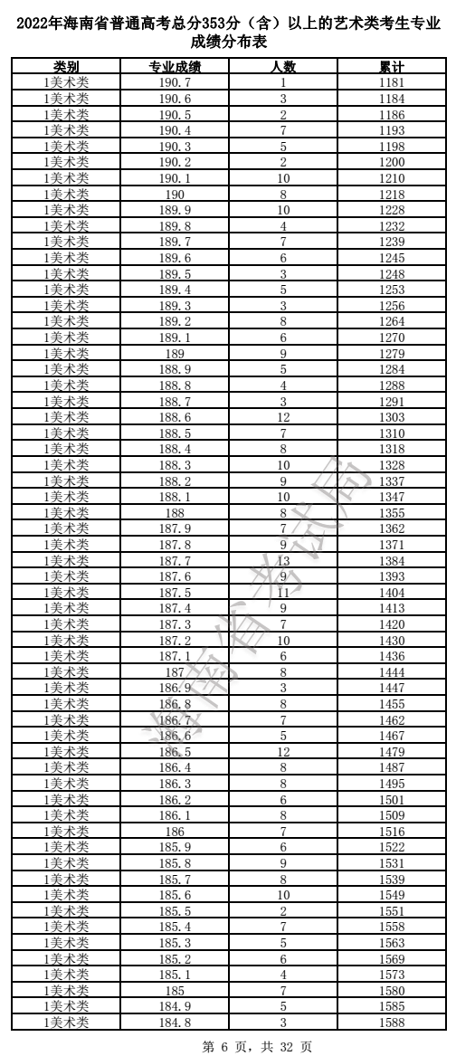
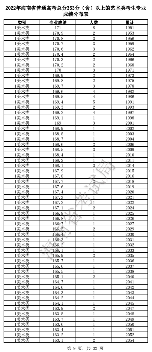
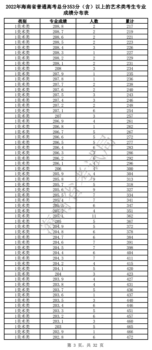
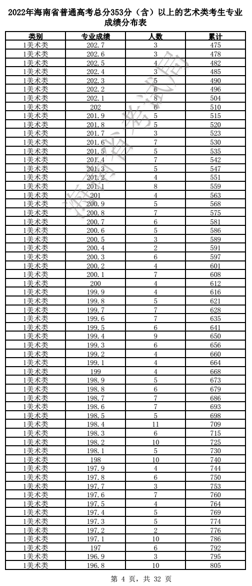
海南高考艺术类分数线及成绩分布表
艺术类本科批(文化课)的录取最低控制分数线:353分
2022年海南省普通高考总分353分(含)以上的艺术类考生专业成绩分布表
部分内容
2022年海南省普通高考艺术类考生文化成绩分布表

投档录取模式
1.本科提前普通类、须面试的专科提前批、本科艺术校考实行梯度志愿投档录取模式。
2.本科提前部分的艺术类、体育类、国家专项计划、地方专项计划和本科普通批、民族班和预科班、高职(专科)提前批、高职(专科)艺术类、高职(专科)体育类、高职(专科)批等实行平行志愿投档录取模式。
推荐:海南高考志愿填报时间安排
THE END




