首页 > 百科 > 地方特产

石家庄机动车停车场备案信息公示 石家庄停车办

来源: 更新时间:2022-06-16 21:06:54
The Beginning

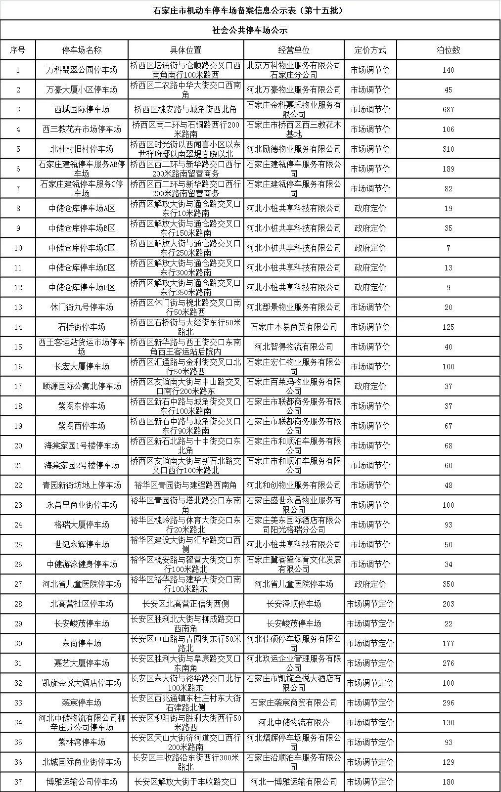
  6月16日,石家庄市公安局交通管理局依照《石家庄市停车场管理办法》对万科翡翠公园停车场等37个公共停车场、1处路内停车泊位共计4553个停车泊位进行备案,现予以公示。另对17个已备案停车场相关信息变更进行公示。欢迎市民对以上停车场信息及运营单位进行监督,如发现违法违规行为线索请向辖区交警大队反映,线索一经查实,对问题停车场取消备案,依法依规严肃处理。dHc育儿早教网

  截止目前,全市共已有1171个停车场、178271个泊位进行了备案公示。dHc育儿早教网

  点我查看大图 dHc育儿早教网

   dHc育儿早教网

THE END

TAG:停车场  泊位  石家庄市  线索  已有  

猜你喜欢

相关文章