The Beginning
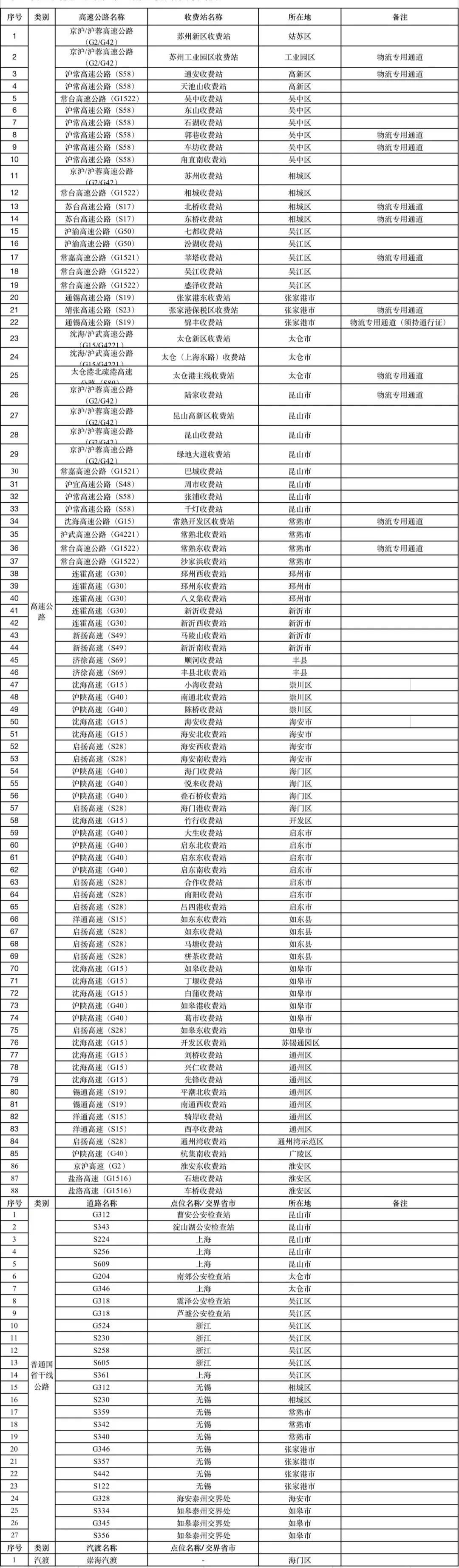
2022年2月22日,扬州市设置一处疫情查验点,为沪陕高速(G40)杭集南收费站,在广陵区内。
截至2022年2月22日17时,江苏全省共设置高速公路收费站疫情查验点88个,其中苏州37个、徐州9个、南通38个、扬州1个、淮安3个;设置普通国省干线公路查验点27个,其中苏州23个、南通4个;设置汽渡查验点1个(南通境内崇海汽渡)。

来源:江苏交通
截至2022年2月22日17时,全省36个高速公路收费站入口(均在苏州境内)、4处长江汽渡临时关闭。

来源:江苏交通
THE END




