The Beginning
沈阳各地常态化核酸检测采样点设置名单一览
为方便广大市民进行常态化核酸检测,各区、县(市)政府对常态化核酸检测采样点进行了优化调整,调整后全市共设置常态化核酸检测采样点1801个。其中,固定采样点196个,便民采样点1320个,流动采样点285个。现将各区、县(市)固定采样点和便民采样点公布如下。
和平区
沈河区
铁西区
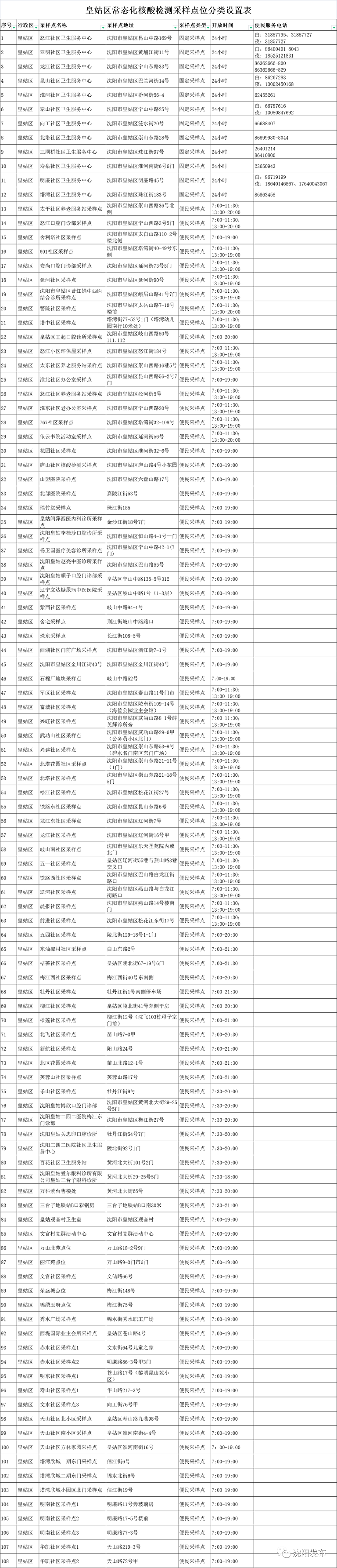
皇姑区
大东区
浑南区
于洪区
沈北新区
苏家屯区
辽中区
新民市
法库县
康平县
➤延伸阅读:
>>>为什么接种新冠疫苗当天不能做核酸检测?
新冠病毒灭活疫苗由野病毒经过培养、灭活等工艺制备而成,病毒已经失去感染性和致病性,但仍保留了相对完整的病毒核酸片段。
接种过程中,开启疫苗瓶、抽取疫苗液、注射器排气、接种后注射器或疫苗瓶内的液体残留等,可能会以液体或以气溶胶方式,污染接种场所的接种台、墙壁、门把手、走廊、接种人员和受种者衣物等物体表面。
此外,因聚合酶链反应(PCR)检测灵敏度极高,如果在核酸片段被降解前进行采样,很可能核酸检测结果呈阳性。
>>>接种新冠疫苗多久后能做核酸检测?
在接种新冠病毒疫苗后,如果需要进行核酸检测,需要在离开接种单位24小时之后方可采样。
THE END




