首页 > 百科 > 地方特产

合肥蜀山南七街道疫情防控报备电话 合肥市蜀山区疫情举报电话

来源: 更新时间:2022-05-17 23:07:13
The Beginning

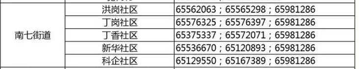
  蜀山南七街道疫情防控报备电话:ZdW育儿早教网

  洪岗社区65562063 ; 65565298 ; 65981286ZdW育儿早教网

  丁岗社区65576325 ; 65576397 ; 65981286ZdW育儿早教网

  丁香社区65375337 ; 65572071 ; 65981286ZdW育儿早教网

  新华社区65536670; 65120893 ; 65981286ZdW育儿早教网

  科企社区65129550 ; 65167389 ; 65981286ZdW育儿早教网

   ZdW育儿早教网

   ZdW育儿早教网

THE END

TAG:社区  报备  新华  疫情  防控  

猜你喜欢

相关文章