首页 > 百科 > 地方特产

2020春节成都市第五人民医院上班时间

来源: 更新时间:2022-03-28 12:01:29
The Beginning

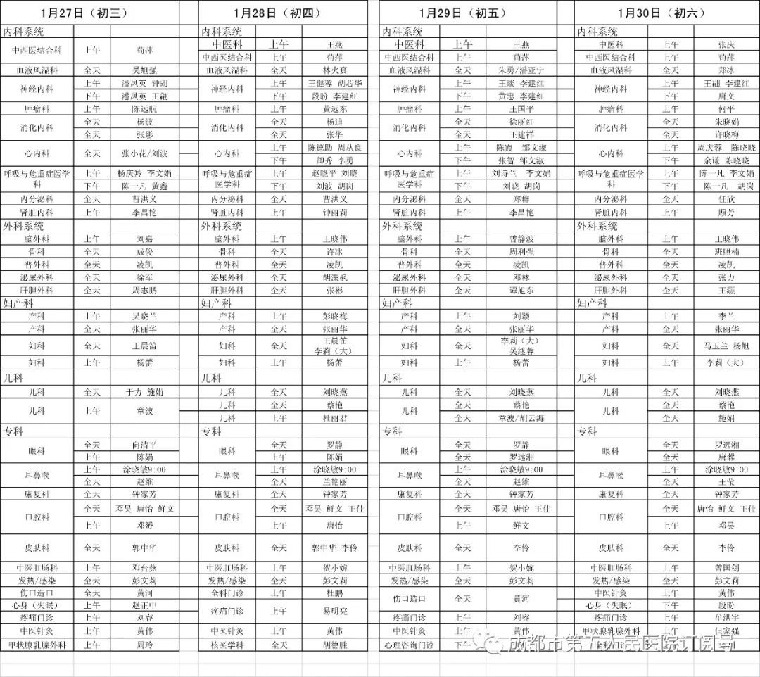
  尊敬的病员朋友:2020年新春佳节即将来临,成都市第五人民医院心系患友们的身体安康,春节期间门诊不放假,照常接诊及检查。8xu育儿早教网

  各专科出诊及检查安排如下。详情可以拨打028-82742182。8xu育儿早教网

   8xu育儿早教网

   8xu育儿早教网

   8xu育儿早教网

THE END

TAG:安康  成都市  病员  春节期间  门诊  

猜你喜欢

相关文章