一、缴费基数与比例
(一)城镇职工:
企业按本单位职工上年度月平均工资进行缴纳。
1、个人上年度月平均工资低于2018年度云南省在岗职工全口径月工资的60%的,2019年以2018年度云南省在岗职工全口径月工资的60%作为缴费基数,即:3107元/月。
2、个人上年度月平均工资高于2018年度云南省在岗职工全口径月工资的300%的,2019年以2018年度云南省在岗职工全口径月工资的300%作为缴费基数,即:15537元/月。
缴费比例:公司缴16%,个人缴8%;
(二)个体工商户、灵活就业人员:
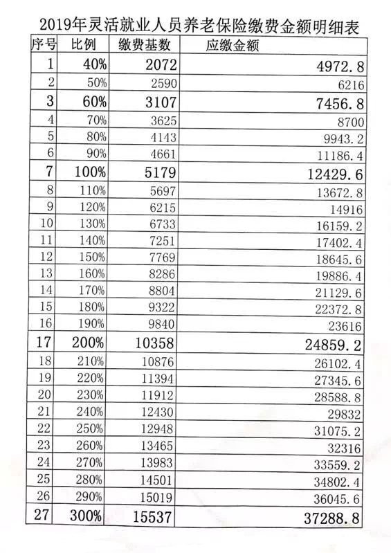
自2019年1月1日起个体工商户和灵活就业人员参加企业职工基本养老保险,按照调整计算口径后的全省城镇单位就业人员月人均工资5179元,核定个人缴费基数上下限,按全口径城镇单位就业人员月人均工资每档增加10个百份点确定灵活就业人员缴费档次(40%—300%共27个缴费档次),供个体工商户和灵活就业人员根据自身情况选择缴费档次。
二、缴费年限
1、男年满60周岁、女年满55周岁为领取基本养老生活费的起始年龄。领取基本养老生活费时的最低缴费年限为15年。领取基本养老生活费时,缴费超过15年的,根据超过的缴费月数计发附加养老待遇。
2、男年满60周岁以上不满70周岁、女年满55周岁以上不满65周岁参保的,领取基本养老生活费的最低缴费年限为:按15年计算,每增加1周岁减少缴费年限1年(即:男61周岁、女56周岁的为14年;男62周岁、女57周岁的为13年,以此类推)。领取基本养老生活费时,缴费超过最低缴费年限的,根据超过的缴费月数计发附加养老待遇。
3、男年满70周岁、女年满65周岁及其以上参保的,领取基本养老生活费的最低缴费年限为5年。领取基本养老生活费时,缴费超过5年的,根据超过的缴费月数计发附加养老待遇。
4、记入个人账户的累计缴费年限达到或超过最低缴费年限,且男年满60周岁、女年满55周岁及其以上的,次月起按月领取基本养老生活费至终年。




