The Beginning
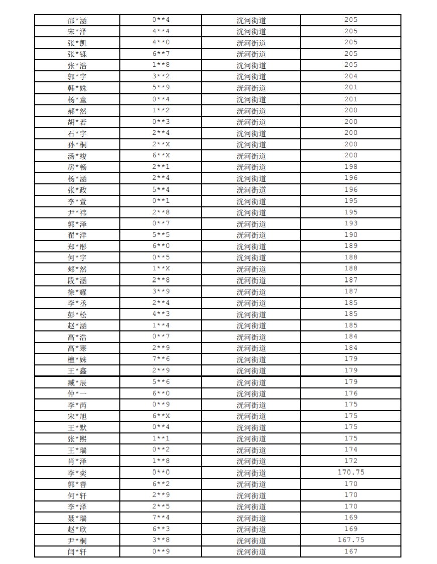
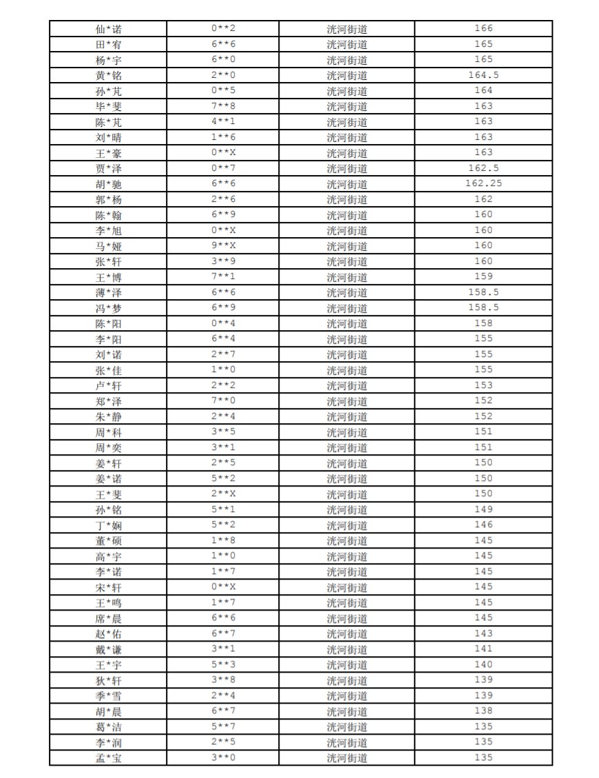
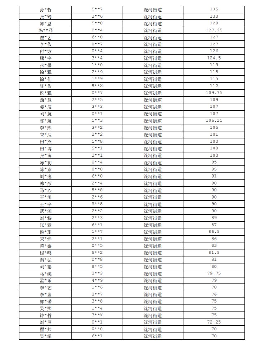
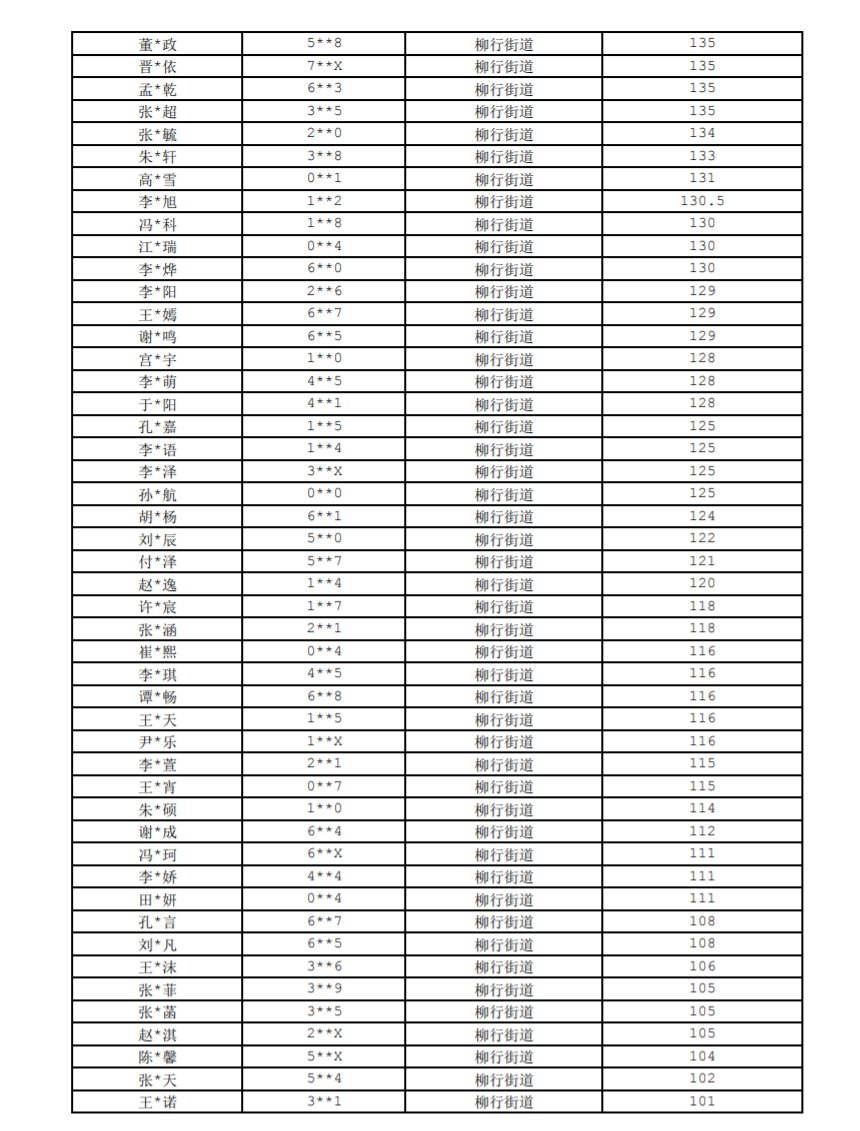
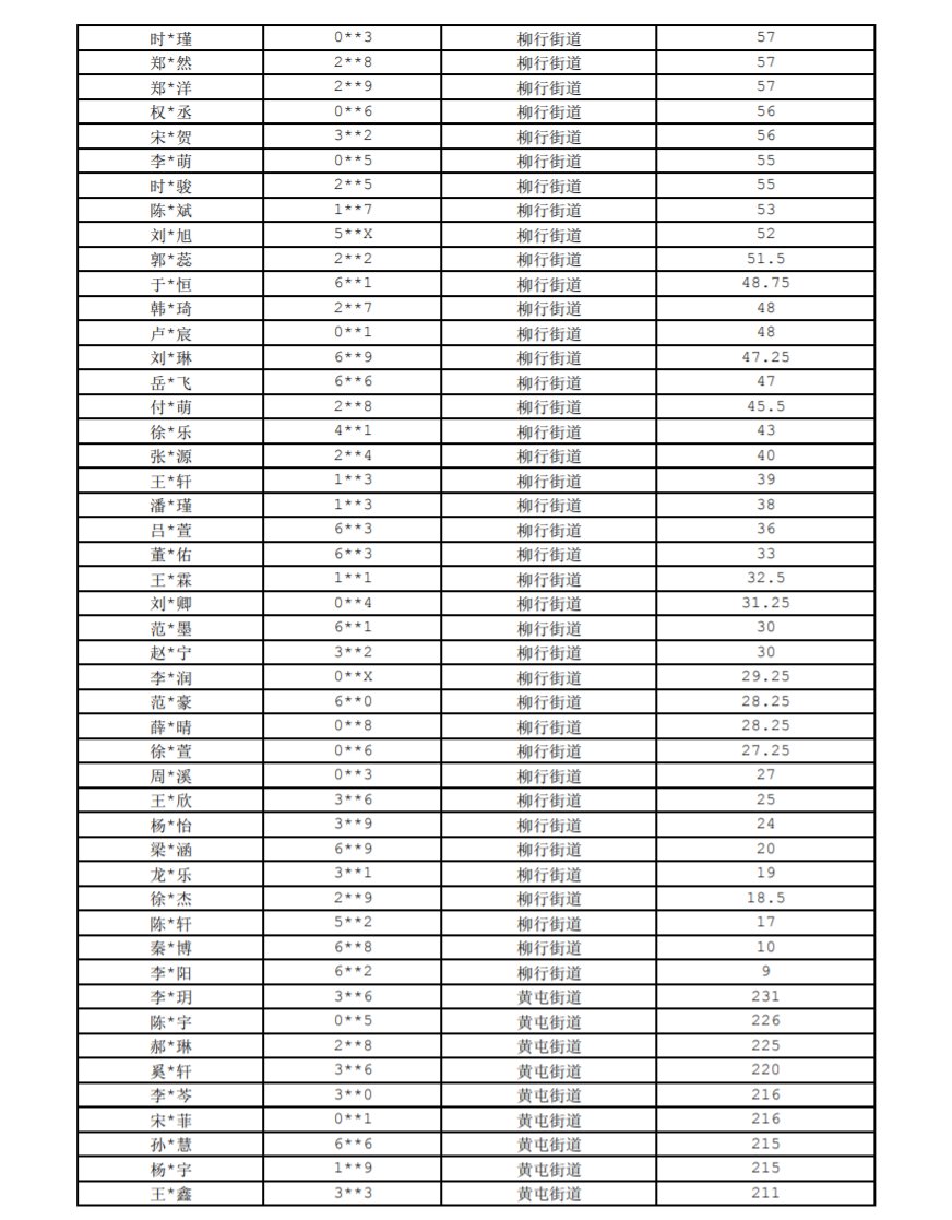
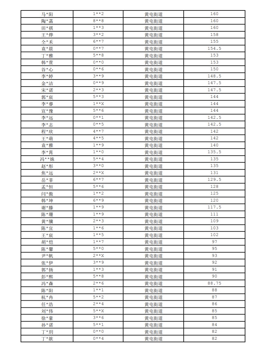
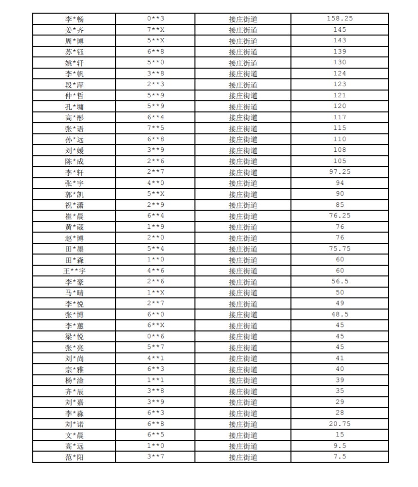
2021年济宁高新区进城务工随迁子女入学积分确认公示
8月14日-16日,济宁高新区2021年进城务工随迁子女积分公示期间,经家长提出复核 申请、济宁高新区义务教育招生工作领导小组研究核实,个别学生的积分发生变化。现将济 宁高新区2021年进城务工随迁子女积分确认名单公示如下:















具备入学基本条件随迁子女的父母(或其他法定监护人) 在规定时间内进行网上申请注册报名,填报积分入学申请表; 网上申报成功后,按规定时间到指定地点进行相关证件证明资 料审验并赋分,积分结果现场签字确认。
THE END




