The Beginning
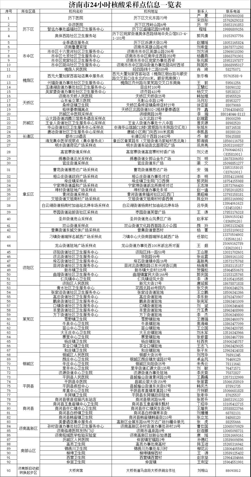
为方便济南市民进行全天候核酸检测,有效掌握健康状况,济南市卫生健康委公布济南24小时核酸检测机构和采样点详细信息。请有需要的市民,及时主动就近选择检测点进行核酸检测,并做好自我健康监测。
24小时检测机构

24小时采样点

核酸检测价格
为方便济南市民进行全天候核酸检测,有效掌握健康状况,济南市卫生健康委公布济南24小时核酸检测机构和采样点详细信息。请有需要的市民,及时主动就近选择检测点进行核酸检测,并做好自我健康监测。
24小时检测机构

24小时采样点

核酸检测价格