The Beginning
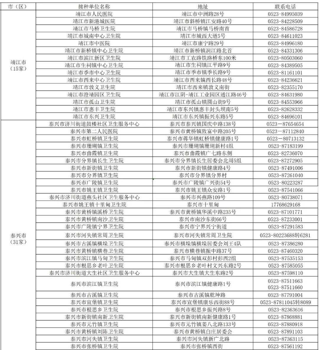
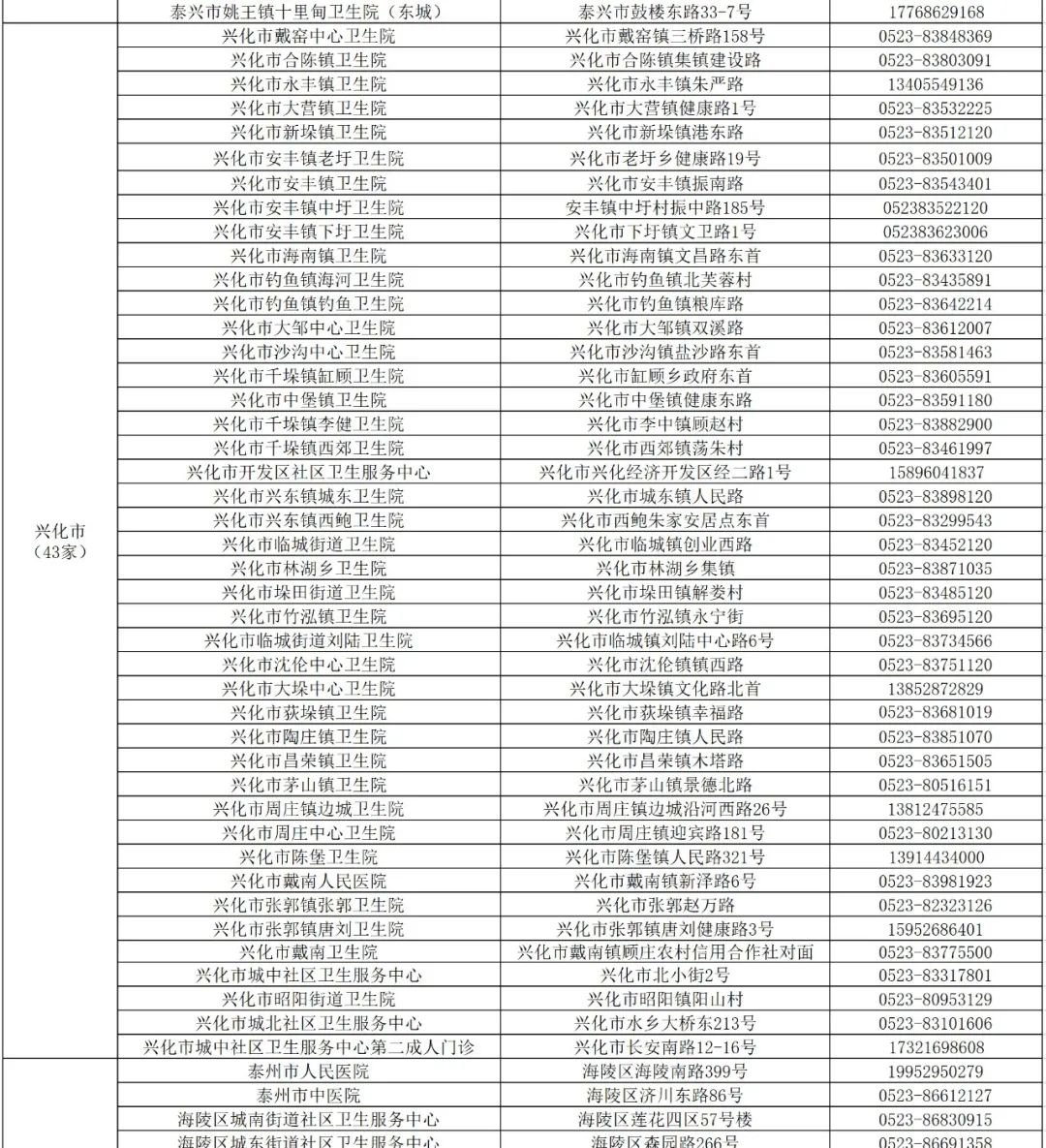
还没接种过新冠疫苗的请携带本人身份证到接种点预约;已经接种完第一针的,请根据接种点的安排按时打第二针。
相关问答》》:
打完第一针,不打第二针会怎么样?第二针超过预约时间怎么办?
答:疫苗的免疫程序的确定是基于研发阶段和临床试验阶段的结果得出的,以获得最佳的安全性、免疫应答效果和免疫持久性。未完成全程接种,难以获得最佳的免疫应答效果和免疫持久性。
如果第二针新冠疫苗接种超过了预约时间,也不用从头再接种一遍,只要把未种的剂次补齐即可。
THE END




